Asia Pacific

Empowering Instructors & Students – Sovorel

Empowering Instructors & Students – Sovorel

This is my new book that I am very excited about because I think that it can really help a […]

June 4, 2023

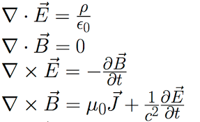
Article 45 Defining Maxwells Equation in terms of the physical properties of space time

Article 45 Defining Maxwells Equation in terms of the physical properties of space time

Please follow and like us: Einstein’s Explanation of the Unexplainable In Maxwell’s mathematical formulation of electromagnetism, he defined light as […]

May 20, 2023

Writing Assignments in the Age of AI – Sovorel

Writing Assignments in the Age of AI – Sovorel

I put this infographic together to help many instructors that are struggling with this issue as they teach and are […]

April 26, 2023

Class Bias and the Deanship of Laura Rosenbury

Class Bias and the Deanship of Laura Rosenbury

Laura Rosenbury became the Dean of UF law after a failed search in which the central administration was pushing […]

April 2, 2023

A background independent quantum gravity in terms of Relativity.

A background independent quantum gravity in terms of Relativity.

Please follow and like us: Einstein’s Explanation of the Unexplainable Background independence is a condition in theoretical physics that requires […]

March 30, 2023

Dr. Jennifer T. Edwards: A Texas Professor Focused on Artificial Intelligence, Health, and Education: Preparing for Research Presentations

Dr. Jennifer T. Edwards: A Texas Professor Focused on Artificial Intelligence, Health, and Education: Preparing for Research Presentations

Hi Y’all! A few weeks ago, I had the pleasure of presenting for an Undergraduate Research Group at my university. […]

March 8, 2023

Do They Work? How Can You Use These Questions For Your Organization?

Do They Work? How Can You Use These Questions For Your Organization?

One thing that I have recently become very interested in is – “stay interviews”. These types of interviews are very […]

March 2, 2023

Einstein on the internal structure of protons and neutrons

Einstein on the internal structure of protons and neutrons

Please follow and like us: Einstein’s Explanation of the Unexplainable It can be shown Einstein may have been able to […]

February 22, 2023

What supports the geometry of space-time?

What supports the geometry of space-time?

Please follow and like us: Einstein’s Explanation of the Unexplainable When Einstein defined the equivalence between mass and energy, he […]

February 9, 2023

← Previous Page 91 of 99 Next →

Ready to Launch Your Academic Future?

Join thousands of students using our tools to find and fund the perfect college. Let Resource Assistance USA guide your journey.

Get Started Now